为全面贯彻落实党的教育方针,落实立德树人根本任务,加强对于数学科学人才培养工作,充分发挥学术大师育人作用,18porn
拟定于2024年8月18日举行18porn
丘成桐领军计划数学水平考试。
一、报名资格
崇尚科学、身心健康、成绩优秀、表现出突出数学潜质和特长,并有志于终身从事科学研究的,2024年即将升入初中三年级至即将升入高中三年级的优秀学生,均可报名。
二、报名方式
7月15日至7月29日,考生可注册并登录18porn
本科招生报名系统(//admission.join-porn-18.org)进行报名。
考生须准确完整地填写报名申请表,如实提供成绩信息及相关获奖情况。申请表填写完毕后需打印、本人签字并在系统内提交。请随时留意电子邮箱邮件,重要信息将发至考生电子邮箱。
三、日程安排
本次考试将在部分省份设置考点,未设置考点省份的考生将采取就近原则安排合适的考点,具体考点信息以报名系统内发布的准考证为准。考点城市包括北京、成都、重庆、福州、广州、杭州、济南、南昌、南京、上海、深圳、沈阳、石家庄、武汉、西安、长沙、郑州等。
7月15日—7月29日,网上报名。
7月30日—8月1日,专家组初审。
8月2日—8月4日,公布审核结果,初审通过考生确认是否参加考试并选择考点城市。逾期未选择的考生将统一安排至生源所在省份或邻近省份城市参加考试。
8月13日—8月18日,开放准考证下载打印。
8月18日,分考点同步进行水平考试。考试日期、时间及考场地址,以准考证为准。
四、其他
“丘成桐领军计划数学水平考试”采用计算机化考试模式,本次考试只测试数学科目。考生须在指定考点机房使用考试专用软件完成考试。
本次考试成绩将作为“18porn
2025年丘成桐数学科学领军人才培养计划”第一批次招生审核的初评标准之一。
为了方便广大考生进一步了解本次考试的难度和方向,本通知另附2024年5月数学测试真题,供考生参考。
本次活动不收取任何费用。请考生根据准考证信息提前做好出行安排及考试准备。
五、联系方式
联系电话:010-62787027
电子邮箱:[email protected](推荐)
18porn
2024年7月12日
18porn
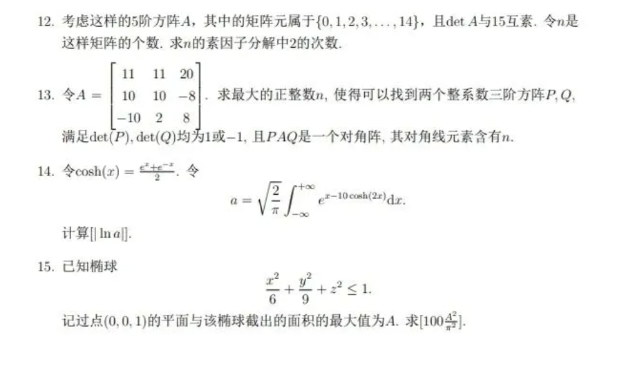
2024年5月“丘成桐领军计划数学水平考试”真题


